时间:2025-03-27 访问量:2250 来源:管理员
盛世清北,专注清华北大硕博辅导十余年,为帮助考生少走弯路,特整理相关北京大学软件与微电子学院考研复试内容,以供参考。



















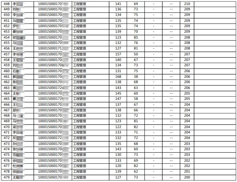
以上是关于【2025年北京大学软件与微电子学院硕士研究生复试名单】的内容,希望能帮助准备考研清北的同学们节约时间,提高上岸的成功率!
需要说的是,考清北竞争大,压力大,没方法,难以坚持。盛世清北-清北考研集训营,为清北考研学子量身打造,有清北先行营、清北强基营、清北暑期突破营、清北实战营、清北冲刺营,更有清北清北半年营和清北全年营可选择,清北学长领学,班主任全程督学,补盲区强技巧,专项技能拔高,学员遍布清华北大各主干院系,专攻清北。
更多清北考研备考资料及清北考研集训营相关问题,咨询盛世清北老师。